对于辛勤的打工人来说,春节长假除了和家人团聚之外,还有很重要的一点是:可以舒服窝在温暖的被子里睡个懒觉!
想必大家都有过这样的感受,天气越冷,起床越难,整个人就仿佛被被子"封印"住了!温暖被窝=冬日幸福,谁能在冬日拒绝一个厚重又暖和的被窝呢?
虽然市面上的新式被子层出不穷,比如羽绒被、纤维被、蚕丝被等等,且往往都打着"又轻又暖和"的旗号,但最爱的还是充满阳光(螨虫尸体)味道、厚实的大棉被,简直是"温暖的港湾",只要盖着它便能一夜好眠。
没错,厚重的大棉被能使人睡得更香并非错觉!此前,来自瑞典的研究学者便发现,被子的重量是好睡的秘密--被子越重,睡得越香。
来自瑞典卡罗林斯卡学院的研究人员发现,盖重毛毯(6-8千克)入睡,只要一个月就能显著改善睡眠,一年内治愈大多数失眠患者,还能减轻抑郁和焦虑的症状,该研究发表于美国睡眠医学学会旗下的Journal of Clinical Sleep Medicine杂志。

作为最常见的精神类疾病之一,30%-48%的成人有失眠的症状,另有6%的人符合失眠的诊断标准。尤其是在精神病患者中,失眠出现的频率就更高了--70%的双相情感障碍患者及60%的焦虑症和抑郁症患者都深受失眠困扰。
在本研究中,共纳入120名失眠超过2个月、合并有以下任一精神疾病包括:重度抑郁、双相情感障碍、焦虑症或多动症的患者。按照1:1的比例,将参与者随机分配到两组,一组盖重毛毯,6-8千克(当参与者觉得8千克太重可换为6千克的毛毯),一组盖轻毛毯重量1.5千克作为对照组。
结果发现,经过4周时间,使用重毛毯的参与者失眠改善有效率为59.4%(失眠严重度指数下降50%以上),完全缓解率为42.2%(无临床显著的失眠);而使用轻毛毯的参与者失眠改善有效率仅为5.4%,完全缓解率仅为3.6%。

图注:两组参与者实验前后失眠严重度指数、失眠改善有效率变化,橙色-重毛毯使用组,蓝色-对照组
腕部活动记录仪也显示,使用重毛毯能够使参与者维持睡眠的能力提高,在失眠症状的改善同时,参与者日间功能也出现了积极的改变--白天活动增加,专注时间更长,休息时间更短。
不仅如此,和对照组相比,使用重毛毯的参与者日间疲劳、焦虑、抑郁的症状均减轻。
在4周实验结束后,有112名参与者继续参加了为期一年的重毛毯使用实验。而在一年后,所有参与者失眠改善的有效率为92%,完全缓解率为78%。

图注:两组参与者实验前后疲劳指数、睡眠维持变化,及参与者使用重毛毯前后日间活动的变化
上述研究证明:被子的重量对失眠症状改善具有显著影响,特别是对于严重失眠的精神疾病患者,重毛毯不仅降低了患者失眠严重程度,还减轻参与者白天疲惫、焦虑和抑郁的症状。(惊!深夜emo的原因竟是被子不够厚?)
事实上,盖厚被子以缓解失眠和焦虑等疾病,已成为专业治疗的重要部分。但为什么会出现这样的现象呢?一直以来,科学家们也在努力探明背后的机制。
还是由瑞典大脑研究基金会牵头开展的研究解释了"盖厚被子改善睡眠"的一大原因--被子越重,睡前褪黑素释放得越多,睡眠自然更好。该研究发表在Journal of Sleep Research上。

研究共纳入26名体重正常、不吸烟的年轻健康男女(15男11女,并排除了女性月经周期的混杂因素)参加到研究中,按照随机和交叉的顺序,进行了两个阶段的试验。
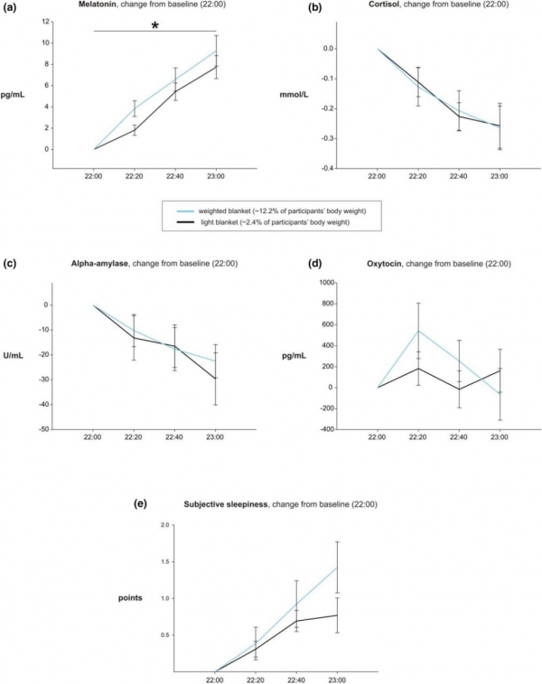
在第一阶段试验中,参与者被要求盖上厚被子,被子的重量相当于参与者体重的12.2%(以60kg的人为例,被子约重7.3kg);而第二阶段中,则盖上较轻的毯子,约体重的2.4%(还以60kg的人为例,被子约重1.4kg)。
此外,通过收集参与者的唾液,并检测其中褪黑素、α-淀粉酶、皮质醇和催产素的含量,研究者能以此分析被子重量对多种激素的影响,探明被子改善睡眠过程中的"罪魁祸首"。

试验设计(2阶段)
卡罗林斯卡嗜睡量表 (Karolinska Sleepiness Scale,KSS)测量结果显示,盖厚被子的KSS得分比盖轻毛毯的高出0.2±0.2分,且越接近入睡时间,KSS的得分越高,即困倦程度更高。不过,两组之间的差异并不显著。
但两组之间的褪黑素浓度有了明显区别!在盖厚被子的情况下,参与者唾液中褪黑素浓度的增幅更大。盖上厚重的被子,能使参与者的唾液褪黑素浓度在22:00-23:00之间(睡前一小时)平均上升约6.6±0.7pg/mL,比盖较轻被子的显著增加32%!
褪黑素是一种由脑松果体分泌的激素,在睡眠时间中起着至关重要的作用。众所周知,褪黑素能够有效促进睡眠,并改善焦虑。被子重了,脑内分泌的褪黑素增加了,自然能睡得更香。

厚和轻被子对唾液中褪黑素(a)、皮质醇(b)、α-淀粉酶(c)、催产素(d)、主观嗜睡评级(e)的影响
不过,对比其他激素,如皮质醇、α-淀粉酶、催产素等,却没有发现两组之间的显著差异。
研究者认为,厚重被子带来的"压力"激活了皮肤感觉传入神经,并通过脊髓将这种感觉传达给了脑内的孤束核(NTS)。孤束核接受到"压力"的信号后,进一步将其投射至下丘脑的室旁核(PVH)。了解"睡眠缓解压力"的人一定对室旁核并不陌生,没错,室旁核便是那个有着小细胞催产素神经元的脑区,通过刺激这个区域,能够增强人们内心的平静和幸福,减少恐惧、压力和疼痛的感受。此外,这些神经元还与松果体相连,进而影响褪黑素的释放。
综上,本研究首次证明,盖上7kg左右的厚重被子,能够有效增加睡前褪黑素的释放,从而改善睡眠。
这也为"冬天早晨起床困难"增添了一个新依据--春节假期早上不愿起来,真的是被子它不让我起啊!










