明年四川将实行新高考,高考分数怎么算?等级赋分办法抢先看
明年四川将实行新高考,高考分数怎么算?等级赋分办法抢先看
川观新闻于"人民日报全国党媒信息公共平台"发布稿件,明确:
从2022年开始,四川省普通高中将开始使用新教材,明年(2025年)参加高考的学生将面临"3+1+2"高考新模式。
四川新高考,终于来啦!

(图源:川观新闻,侵删!)
自9月15日,甘肃、黑龙江、吉林、安徽、江西、贵州、广西七省(区)官宣自2021年起启动新高考。截至目前,全国已经有21个省份分四批启动了高考综合改革。还未进行高考改革的省区有:河南、陕西、四川、山西、内蒙古、新疆、西藏、云南、青海、宁夏。
其中,陕西明确将于2022年启动高考综合改革,在普通高中同步实施新课程新教材,2025年全面实施新高考。
而今四川也终于官宣了!
关于新高考,你必须知道的事
那么,何为新高考呢?有何变化?怎么录取呢?
新高考就是:实行"3+1+2"模式,高考不分文理,实施基于统一高考和高中学业水平考试成绩、参考综合素质评价的多元录取模式。
下面一起来看看官方图解:





由于是新政策,很多家长朋友并不清楚3+1+2高考制度如何实施、等级赋分制如何折算、志愿如何填报及录取等。为了方便大家理解,帮助明年新高一学生及家长提前了解,为选科做准备。下面就讲解一下新高考"3+1+2"模式中的赋分制。
新高考的赋分制是如何算分的?
新高考下实行等级赋分,是为了让选择同一科的同学进行对比,然后赋分,这样有利于解决因试题难度不同而导致的不公平。"3+1+2"模式详细内容如下图所示:

也就是说,涉及到"等级转换赋分"的科目,是政治、地理、化学、生物4门,这4门要以等级赋分后的成绩计入总成绩。
大家首先注意两点:
1.等级赋分制不是按照考生的卷面分数来计算成绩。遵循"原始分数--百分比例--等级--转化分数"的等级赋分路径。
2.等级赋分由相关主管部门自动完成,大家在查询到自己的高考成绩时,看到的已经是赋分后的分数,不需要大家自行换算。
具体换算过程:
1.固定的比例及对应的等级、赋分区间。
以实际参加该科选考人数的成绩为基数,将各考生原始成绩从高到低划分为A、B、C、D、E共5个等级,各等级人数所占比例分别约为15%、35%、35%、13%和2%。

以上的5个等级及各等级对应的比例及赋分区间是事先设定的固定规则,转换后赋分成绩满分为100分,赋分起点为30分。


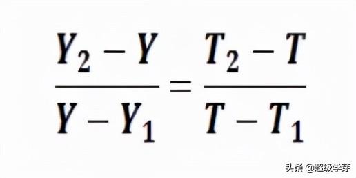
2.等级转换的具体公式:

其中:
Y1、Y2分别表示原始分区间的下限和上限;
T1、T2分别表示转换分区间的下限和上限;
Y表示原始分;T表示转换分。
考虑到高考分数都以整数呈现,故上述公式的计算结果需要进行"四舍五入"处理。


关于赋分制的热点问答
Q:
为什么要采取等级赋分制?

而且等级赋分能够较好解决学科之间分数不等值、学生选考科目分数不能直接相加参加高校招生录取的问题。如果以原始分呈现考试成绩,会带来学科间不公平问题;等级呈现方式则使得不同学科考生因等级划分而保持了成绩相对均衡,学科间试题难易差异等不公平因素可以被较好消除,使得不同科目之间成绩可以相加。
Q:
高考选考科目可以知道卷面的原始分数吗?
高考公布的分数为赋分之后的分数。
Q:
赋分和选考人数有关吗?选考人数越多越容易被赋分?
考虑赋分因素要重点注意以下几类情况︰学霸选考越集中,成为炮灰的可能性越大;试题难易程度:试题难度越简单,学霸区的炮灰就会越多。试题越难,学霸越容易和其他人拉开差距,考上名校。赋分模式下,选择人数越多,赋分结果就越趋于合理,选择人数越少,偶然性就会越大。总而言之,赋分制度下不仅要求考生考虑自身的成绩,还要考虑本省其他竞争者的成绩。
Q:
赋分制下,如果某一门选考人数特别少怎么办?
这一现象在首批试点的浙江省有出现,采取的措施为设置最低保障基数,当选考人数少于"基数"时,则按照基数人数进行赋分。
Q:
新高考改革下,考生交白卷也有60分的成绩?
新高考改革采取赋分制,最高100分,最低30分,如果考生交白卷,实际卷面成绩0分,选科目成绩被排到E等级。那么在等级赋分后,任选科目每科最少也有30分会被计入总成绩,两门任选科目即60分。
Q:
新高考改革,选择纯文组合,除了专业选择受限,赋分会吃亏吗?
纯文组合的专业覆盖率偏低,但是赋分的高低主要跟排名有关系,考生如果文科排名很靠前,也有被赋予高分的可能。
Q:
新高考有赋分,大学录取的分数线会提高很多吗?
不一定,决定大学录取分数线的因素是考生的投档人数,招生计划等因素,新高考中虽然实行了赋分,但是是所有学生都参与赋分,形成的高考总成绩是不影响录取分数线的。
Q:
考生考多少分才能被赋满分?
新高考改革选择等级赋分制,赋分主要看排名,考生排名在前1%,基本上都可以被赋予满分。
Q:
新高考实施赋分制,赋分制的合理之处体现在哪?
一是解决了选考科目之间分数不可比的问题;
二是能够最大限度地保证考生的成绩具有良好的区分度,满足高校人才选拔的需求。
Q:
历史类考985 211的分数,会比物理类的高吗?
不一定,具体的要看每个学校的专业实力,投档人数,招生计划等因素。
Q:
影响考生赋分成绩高低的因素有哪些?
影响考生赋分成绩的因素包括学生排名、选考学生层次、学科及试卷的难易程度、选考人数等。
Q:
为什么新高考后很多文科生考高分?
以往文科因此题目较主观的原因,很难得高分或满分,但赋分之后,将成绩分布在各个区间,成绩整体比以前高。
Q:
选择冷门学科,在赋分上是不是更占优势?
赋分的高低主要受考生排名的影响,选考人数越多,赋分结果就越趋于合理,选择人数越少,偶然性就会越大,冷门学科选考的人数可能较少,但是能不能被赋予高分还是看考生的实际排名,是否有优势无法准确衡量。
高考是关于孩子一生命运的大事,说了好久的新高考,四川终于官宣将要落地实行了。由于是新政策,很多家长朋友并不清楚3+1+2高考制度如何实施、等级赋分制如何折算、志愿如何填报及录取等。本文已为大家进行了梳理与解析,如有其他以为可以联系学芽规划师,我们将耐心的为您解答问题。










