老人常喝牛奶,容易招惹上两种病?医生:牛奶应该这样喝
一直以来我们都在号召大家喝牛奶,毕竟和其他欧美国家相比,我们国家的牛奶摄入率并不高,乳制品的消费量也不够,这也导致了很多人在健康方面存在营养摄入不足的问题。
所以,很多学者也都在呼吁大家多喝一些牛奶或者其他乳制品,让身体更强壮一些。
但是,喝牛奶真的有助健康吗?

在学术界,一直有一些声音在反对。有些学者认为乳制品可能和癌症有关,经常喝牛奶会增加患癌风险。
真的是这样吗?
一、51万人,随访10年。
牛奶到底和癌症发病有什么关系?不但很多老百姓想知道,有些专家学者也仍然在探索其中的奥秘。

有一些来自于英国牛津大学的学者,和我国中国医学科学院,以及北京大学的学者进行了合作,总共调查了50逾万中国成年人的数据。
这些成年人来自于多个城市,地域广度高,包括青岛、哈尔滨、海口、苏州以及柳州。
总共调查的人数超过了50万,达到510,146名。之后对这些人进行了长期的随访,平均随访时间可以达到10.8年,时间跨度久。
这些人的平均年龄已经达到了52岁,其中59%是女性,44%的人居住在城市。
在这期间,主要看身体状况,特别是癌症发病情况,也对他们的牛奶摄入量进行了调查,看看他们每天喝了多少牛奶。

结果会怎么样呢?牛奶真的会致癌吗?
二、牛奶,导致三种癌症的风险增高。
事实上,牛奶可能真的会致癌。
在这51万人当中,患癌的人数达到了16,998人,诊断得都比较明确,很多都是专业医生给出的诊断。
但是这些人中,是喝奶的人多,还是不喝奶的人多呢?
在这些人中,爱喝奶的人其实并不多,有20.4%的人表示每周会至少喝一次牛奶,但是更多的人表示自己平时不喝牛奶或者很少喝奶,这部分人达到了68.5%。

研究人员发现,喜欢喝牛奶或者喜欢摄入乳制品的人,有4个特性:
- 1.女性。
- 2.教育程度高。
- 3.收入水平高。
- 4.调查时普遍很健康。
但是之后会怎么样呢?爱喝牛奶的这10年之后,健康会出现问题吗?
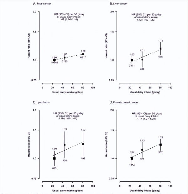
其实,在经过一系列统计学方法计算后,发现喝牛奶真的会增加癌症发病风险。
每天多喝50克牛奶,那么患癌的风险就会增加7%。

特别是三种癌症,发病风险是最高的:
1.肝癌患病风险增加12%。
肝癌是我国最常见的癌症之一。无论是我国的发病患者数量,还是死亡患者数量,都在全球居于首位。
以前,我们认为肝癌和乙肝以及黄曲霉素相关性较大。可是实际上,乳制品和肝癌的关系也非常密切,在其他文献中,有学者认为乳制品摄入量高的人,肝癌的患病风险会增加30%。

2.乳腺癌风险增加17%。
在我们国家乳腺癌也并不少见。在所有癌症患者中,有15%患有乳腺方面的疾病。在中老年女性当中,在诸多因素的共同作用下,会导致乳腺癌的发生。而乳腺癌和乳制品的关系,也一直都受到大家的重视,这已经不是第一次有学者认为乳制品会导致乳腺癌了,之前就有学者认为,在北美的女性当中,经常喝牛奶的女性,会增加22%乳腺癌患病风险。

这么看来牛奶是不是不能喝了?毕竟这些都挺吓人的。
其实并不是。
如何正确喝牛奶?
1、选择最佳的黄金时期
喝奶的第一个黄金时期是早餐后,早餐承担着一整天总能量的25%。早晨先吃五谷物,再喝杯牛奶,能延缓餐后血糖升高,提高大脑活力,增加对牛奶营养素的利用率。第2个黄金期是下午茶时间,此时易感觉到困乏和疲倦,不妨喝杯牛奶,其中的脂肪和蛋白质能快速为身体补充热量和营养。第3个黄金期是睡觉前30分钟,牛奶中含有的色氨酸具有催眠功效,还有的钙能消除紧张不安的情绪,弥补钙质流失,维持其平衡。

2、不能空腹喝牛奶
牛奶是液体,空腹喝会使得牛奶快速经胃排出,营养物质没有被消化和利用,从而造成浪费。早餐不妨先吃含淀粉的食物,如馒头和面包,然后再喝杯牛奶,这样才能充分吸收和利用牛奶中营养物质。
3、不能大口喝奶
喝牛奶时须注意小口慢喝,能增加牛奶中蛋白质跟胃酸接触时间,然后形成细小凝块,利于消化和吸收。
4、不要喝冰牛奶
牛奶经过冰冻后,其中的脂肪和蛋白质可出现分离现象,使得其味道变淡,不易吸收营养物质,尽量把冰牛奶加热到75℃以下再喝。另外也不能把盒装液体奶煮开后再喝,会使得维生素和蛋白质流失,降低其营养价值。






