专家:特朗普将推动加沙停火视为个人“外交秀”

2025-10-11 11:15  头条

谁也想不到,纠缠两年的加沙血战,竟被特朗普用一套混合了威胁、交易和表演的"江湖手段"强行按下暂停键。

当哈马斯罕见地公开承认战争结束,当饱受摧残的加沙民众相拥而泣,这场被外界视为"不可能完成的任务"的停火谈判,确实在特朗普手中实现了突破。

但硝烟散尽后,这片土地上真的能长出和平吗?还是说,我们看到的只是一场精心设计的权宜之计?

特朗普的第一招就是赤裸裸的恫吓,他在停火谈判的开场白不是外交辞令,而是赤裸裸的死亡威胁。

特朗普直接向哈马斯发出最后通牒:要么接受包含20项条款的和平方案,要么面临"地狱般的毁灭"。但诡异的是,这套连美国媒体都瞠目的粗暴话术,竟然奏效了。

究其根源,在于特朗普同时把枪口顶在了双方太阳穴上,哈马斯作为一个在夹缝中生存的组织,深知如果美国真的大动干戈,自己可能瞬间被碾碎。于是,他们"大体接受"了协议。

而对以色列特朗普施加了前所未有的压力。当内塔尼亚胡试图以哈马斯提出的"但是"为由拒绝妥协时,特朗普不仅强势推进谈判进程,更迫使以方就袭击事件向调解方卡塔尔道歉。这种"双线施压"的策略打破了美国长期以来偏袒以色列的固有模式,成为打破僵局的关键。

为确保协议落地,特朗普派出的特使团队甚至破天荒地列席以色列内阁会议,实时监督停火协议的表决过程。这种这种毫不修饰的"强权"做法虽然引发争议,却有效防止了节外生枝。

特朗普的恫吓就像一剂猛药,暂时麻痹了疼痛,但病根并未消除。问题在于,这种基于恐惧的协议能维持多久?当恐惧消退,仇恨会再次浮出水面。

特朗普的第二招是快速撮合谈判,一直以来,特朗普追求的是"成交"而非"和解",所以他拉拢卡塔尔、埃及和土耳其等多方力量,试图构建一个表面上的国际共识,但这些"共识"之下全是"雷区"

第一点,特朗普拉拢的盟友如卡塔尔和埃及,本身在中东就有复杂利益。卡塔尔长期资助哈马斯,埃及则担心加沙动荡波及西奈半岛。特朗普利用这些国家作为杠杆,却未必能保证它们的长期承诺。一旦利益变化,这些"盟友"可能迅速转向,让整个协议土崩瓦解。

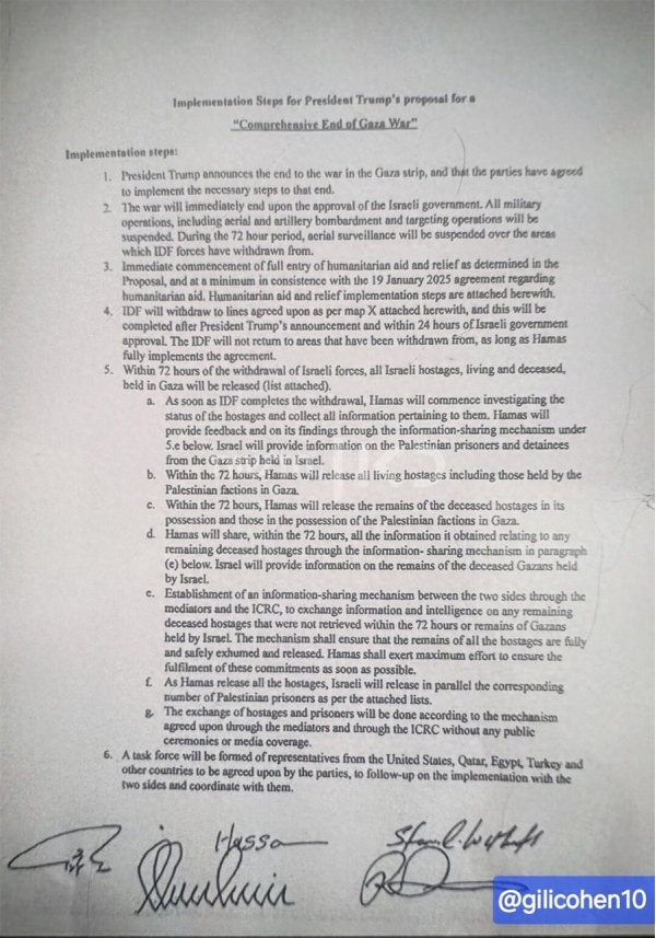
第二点,停火协议核心的三个环节:哈马斯要先放人质、再交武器、最后移交政权,而以色列只需后撤部队到"商定地带"并承诺不追究责任。

现在第一步基本完成,但第二步,也就是特朗普20条计划中的关键,哈马斯放下武器和移交权力,几乎是不可能完成的任务。哈马斯作为一个政治军事组织,武器是其生存的根基。如果彻底解除武装,他们就会像被拔了牙的老虎,随时可能被以色列或其他派系吞噬。

而且就像黎巴嫩真主党警告所说的:这可能是以色列的陷阱,用停火诱使哈马斯交出筹码,然后一举歼灭。毕竟以色列在谈判期间偷袭的例子比比皆是。

但哈马斯也不是傻子,他们肯定会在武器和人质上留一手,作为自保的筹码。而以色列呢?以色列内部强硬派一直主张彻底消灭哈马斯,谁也说不好这一次在哈马斯筹码尽失之后,以色列会不会再度掉头杀个回马枪?

更关键的是,特朗普刻意回避了"两国方案",把巴勒斯坦建国问题扔给"多方协商"的模糊未来。

特朗普的第三招是舆论造势,他不仅要在幕后推动协议,还要在台前抢尽风头。当美国务卿鲁比奥递上小纸条,催他尽快在"真相社交"上宣布协议时,特朗普立刻照办,成功将停火协议打造成个人政治秀,享受着"和平缔造者"的媒体光环。

但像他这么干很可能影响协议的实质执行。当停火被高度政治化,它就不再是单纯的和平进程,而成了特朗普的政治筹码,这让本就脆弱的协议变得更加岌岌可危,简单来说,就是任何意外事件都可能被放大为政治危机,导致协议破裂。

打个比方,如果哈马斯内部出现分裂,或以色列国内强烈反弹,特朗普可能为了维护形象而强行施压,反而激化矛盾。

更重要的是,这种舆论驱动的外交缺乏长效机制。而特朗普本就没有解决巴以冲突的核心问题:两国方案和领土争端,他只是暂时冻结了冲突,并非化解它。

而特朗普的"江湖手段"之所以能短期奏效,是因为美国强大的霸权地位,但现在,美国的信誉早已千疮百孔。

美国一直都是以色列最大的军事援助国,多次在联合国否决不利于以色列的决议。即便是这次特朗普的20条计划,仍然偏袒以色列,比如不明确提及"两国方案",这等于默认了以色列的长期占领。

最讽刺的莫过于哈马斯竟呼吁"请特朗普监督以色列履约"。把和平希望寄托在史上最善变的总统身上,如同请狐狸看守鸡舍。

特朗普今天的承诺,明天可能就变卦了。如果以色列未来撕毁协议,美国大概率会甩锅给哈马斯,称他们"阴谋袭击"。这种"拉偏架"的担保,让协议从一开始就建立在流沙之上。

卡塔尔、埃及和土耳其之所以参与,不是信任美国,而是权衡自身利益。一旦美国失信,这些地区玩家可能迅速撤出,让谈判崩盘。

别忘了,加沙问题只是巴以冲突的一角,约旦河西岸的动荡、巴勒斯坦建国的僵局才是根源。

所以,即便特朗普真的暂时冻住了战火,加沙的终极困境依然无解。当230万人被挤压在365平方公里的牢笼里,当约旦河西岸仍在扩张定居点,当巴勒斯坦国依旧是个虚幻泡影,仇恨只会继续在废墟下发酵。

哈马斯或许会被解除武装,但压迫不消失,反抗就永远会借尸还魂,今天在加沙街头那些喜极而泣的泪水,会不会在几个月后变成更绝望的鲜血?