济南发布关于紧急寻找
与确诊病例同轨迹人员的公告
轨迹涉济南站、济南长途汽车总站等

2022年3月10日,济南市疾控中心接河南省濮阳市确诊病例陈某某的协查信息,按照疫情防控相关要求,现将陈某某在我市的活动轨迹公布如下:
2022年3月4日07:49陈某某乘坐动车D6072(2车厢13D)自威海站到济南站(11:38抵达济南),11:50在济南站乘坐B84公交车,12:10到达济南长途汽车站总站,12:19在济南长途汽车站总站附近饭店就餐(饭店内密接已管控)后前往候车大厅候车,14:00乘坐济南-濮阳大巴回濮阳市。
在此提醒广大居民朋友们,与陈某某在上述时段有共同轨迹的,请第一时间主动向辖区疾控中心报告,并进行核酸检测,积极配合落实相关防控措施。
请广大居民不必恐慌,不信谣,不传谣,保持正常生产生活秩序。积极主动接种新冠疫苗,提高免疫力,增强个人防护意识,规范佩戴口罩,保持合理的社交距离,做到勤洗手、戴口罩、常通风、少聚集。
济南市疾病预防控制中心
济南市各区县疾控中心联系方式
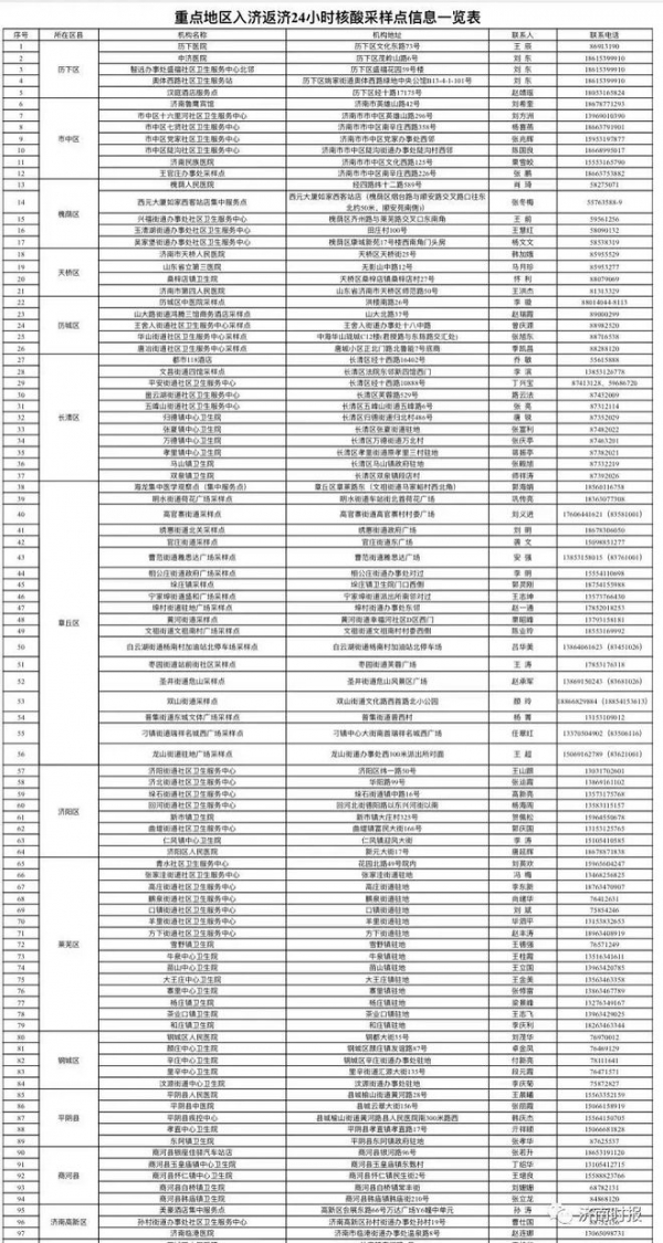
重点地区入济返济人员24小时
核酸采样点和核酸检测机构名单












